相比近些年来经常上热搜、广泛关注的心脏(猝死)、肺部(新冠肺炎)、子宫及宫颈(宫颈癌)这些“热门”器官来说,它并不太受关注。发病后对工作和生活的影响似乎也没有比上面那些疾病更严重,更导致它不被重视。
但其实近年来在我国与它相关的癌症增长了近五倍,发病增长率位居肿瘤发病率的首位,其他类型的相关疾病患病率更是达到了近20%,也就是说大约每五个人就有一个人患上这方面的疾病。
它就是甲状腺!
今天小编特别邀请到原协和医院院长、内分泌领域权威专家陆召麟教授,带您详细了解这个对我们一生都有着重要作用的甲状腺!

一、三个特点全面了解甲状腺
—腺体中的“老大”—
人体的内分泌系统包括很多种腺体,包括乳腺、肾上腺、胰腺、性腺等等,而甲状腺就是其中最大的腺体和免疫器官。
—“交通”要道—
甲状腺位于颈部软骨下方、紧贴喉管和气管、挨着胸廓上缘。周围分布着很多通往大脑的大血管和重要神经,是人体的“交通要道”。
两边的部分叫做左右两叶,看起来类似翅膀,中间连起来的地方称为甲部。整体的外形看上去就像一只正停靠在颈部的翩然蝴蝶。
—“硬核”器官—
它虽然看上去小巧精致,但有着极为重要的作用!通过生成甲状腺激素,全方面控制、调节人体机能,关系着大脑、骨骼、肌肉、心脏、神经、生殖系统、消化系统等众多重要器官的正常运作。一旦它出了问题,就会引起全身一系列“蝴蝶效应”。
二、重要的甲状腺素
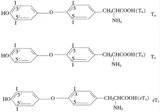
想要了解甲状腺,必须要知道甲状腺激素,也就是我们常说的T3、T4。它们被甲状腺生产出来后,通过血液运送到人体每个细胞,参与并协助人体各个部位的健康运作。

— 甲状腺激素“工厂”—
甲状腺组织是由很多的甲状腺滤泡细胞组成的,甲状腺滤泡细胞是由外部上皮细胞、分泌细胞、间质、胶质组成,是生产和储存甲状腺激素的核心 “工厂”。
在这个“工厂”里,人体中的碘元素与甲状腺球蛋白中含有的酪氨酸发生一系列的化学反应,最终形成T3、T4这两个重要的甲状腺激素。

连线上碘原子I的数量决定了它们的名字

— 甲状腺激素“控制系统”—
甲状腺激素多了少了都不行,必须要精准的控制,它的合成和分泌受到了很多复杂的因素来控制,这就是著名的“下丘脑-垂体-甲状腺轴”。
下丘脑是人体内分泌系统的“大领导”,它分泌TRH控制“中层管理者”脑垂体,脑垂体再分泌出TSH,来控制“打工仔”甲状腺生成、增加或减少甲状腺激素。

如果T3、T4在血液中浓度含量减少了,TSH就会增加,促进甲状腺激素的生成,但生成的过多了,就会患上甲亢。
反过来,如果T3、T4在血液中含量增多了,也可以抑制垂体TSH的分泌,从而减少甲状腺激素的分泌。但如果过分抑制,也会导致甲减。
整体的激素生成和控制被称为环,下丘脑-垂体-甲状腺的互相关系则被称为轴,整个系统的运行在人体中起着非常重要的调节作用。
三、甲状腺的三大作用
甲状腺功能在人的一生中都起着重要的作用,从出生到老年,方方面面都离不开它。

— 生长发育 —
影响胚胎和婴幼儿的发育、特别是脑部及骨骼的形成和成熟
从女性怀孕开始,甲状腺就会对胎儿的大脑及骨骼发育有极大的关系。假设如果母亲本身就有地方性甲状腺肿大(大脖子病)的话,那么生下来的孩子就很可能会有先天性的甲状腺低下,患上呆小症。
患有呆小症的孩子从生长发育停滞,生下来就不会哭、智力低下、身体矮小,可能3岁左右不会说话、5岁还不会走路,给家庭带来极大的痛苦。但如果在早期就进行干预和治疗,是可以痊愈的。

— 新陈代谢 —
影响基础代谢、能量代谢、吸收及分解
甲状腺激素对体内的新陈代谢有着非常重要的影响,例如对糖、脂肪、钙、磷、蛋白质的吸收、利用、能量的转化、降解等都有影响。
--甲状腺激素分泌过多
即为甲亢
代谢旺盛过快,出现长时间有饥饿感、心跳加快(80次/分钟)、怕热、气短、血糖上升、消瘦、甲状腺组织增生、眼球突出、咽喉有异物感吞咽困难等。
--甲状腺激素分泌过少
即为甲减
代谢减慢,出现怕冷、血糖下降、心率血压降低、粘液性水肿、腹胀便秘、月经紊乱、窦性心动过缓、肥胖等。

— 中枢神经 —
导致植物神经、交感神经紊乱
出现易激动焦躁、喜怒无常、失眠多梦、注意力无法集中、记忆力减退、疲惫嗜睡、肌肉无力、肌肉震颤等健康问题。
甲状腺每分每刻都在影响着我们全身的健康,除了上面提到的甲亢和甲减之外,还可能会有甲状腺结节、甲状腺囊肿、甲状腺癌等疾病,千万不要忽视它可能带来的健康威胁。
那么甲状腺疾病是遗传的吗?如何才能尽早发现甲状腺疾病?体检中有哪些项目和指标意味着甲状腺出了问题?日常生活中该如何保护好我们的甲状腺?
更多关于甲状腺的健康话题,敬请期待陆召麟教授后续的甲状腺健康系列小讲堂吧。



京公网安备11010102007413号